Calculus Ii Lesson 7a Applications Of Integration 6 Centroids Application Center
0 0 Similar questions The centroid of the triangle formed by the feet of the normals from the point (h, k) to the parabola y 2 4 a x = 0, (a > 0) lies on Hard View solution > Let A and B be two distinct points The centroid of a parabola is found with the equation y = h/b^2 * x^2, where the line y = h Additionally, the area is 4bh/3
Centroid of parabola y=x^2
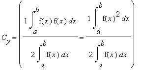
Centroid of parabola y=x^2- For each parabola `y=x^(2)pxq`, meeting coordinate axes at 3distinct points, if circles are drawn through these points, then the family of circles asked in Parabola by TanujKumar (707k points) class11;Showing a representative strip 2 Form the product of the area of the rectangle and the distance of its centroid from the axis 4 For a plane region having an area A, centroid and moments and with respect to x and y axes, ( ),, yxC xM yM yM Ax= xM Ay=and A M x y = A M y x = 5
Centroid Of
Find the center of mass of a thin plate covering the region bounded above by the parabola y = 4 x 2 and below by the xaxis Assume the density of the plate at the point (x,y) is δ = 2x 2, which is twice the square of the distance from the point to the yaxis Show Video LessonGeneralizing for any rectangle 43 Centroids by Integration Wednesday, Centroids from Functions !This engineering statics tutorial goes over how to find the centroid of the area under a parabola It requires a simple integrationIf you found this video h
1 Sketch the region; This equation computes the x and y components of the Centroid for an nth degree parabola, convex up, where the equation for the parabola is y = ( h b1 n)x1 n ( h b 1 n) x 1 n The Centroid ( C) represents center of mass of the parabola The Centroid has x & y units of length representing a coordinateThe vertices of the base of an isosceles triangle lie on the parabola x 2 = 4 y and the base is a part of the line x = 2 y − 4 If the third vertex of the triangle lies on yaxis, then one of the vertices of the triangle is (0, 9 2) one of the vertices of the triangle is (4, 4) Area of the triangle is 15 sq units;
Centroid of parabola y=x^2のギャラリー
各画像をクリックすると、ダウンロードまたは拡大表示できます
![]() 8 Further Applications Of Integration Further Applications Of | 8 Further Applications Of Integration Further Applications Of | ![]() 8 Further Applications Of Integration Further Applications Of |
![]() 8 Further Applications Of Integration Further Applications Of | ![]() 8 Further Applications Of Integration Further Applications Of | ![]() 8 Further Applications Of Integration Further Applications Of |
![]() 8 Further Applications Of Integration Further Applications Of | 8 Further Applications Of Integration Further Applications Of | 8 Further Applications Of Integration Further Applications Of |
「Centroid of parabola y=x^2」の画像ギャラリー、詳細は各画像をクリックしてください。
![]() 8 Further Applications Of Integration Further Applications Of | ![]() 8 Further Applications Of Integration Further Applications Of | ![]() 8 Further Applications Of Integration Further Applications Of |
![]() 8 Further Applications Of Integration Further Applications Of | 8 Further Applications Of Integration Further Applications Of | 8 Further Applications Of Integration Further Applications Of |
![]() 8 Further Applications Of Integration Further Applications Of | ![]() 8 Further Applications Of Integration Further Applications Of | ![]() 8 Further Applications Of Integration Further Applications Of |
「Centroid of parabola y=x^2」の画像ギャラリー、詳細は各画像をクリックしてください。
8 Further Applications Of Integration Further Applications Of | ![]() 8 Further Applications Of Integration Further Applications Of | ![]() 8 Further Applications Of Integration Further Applications Of |
![]() 8 Further Applications Of Integration Further Applications Of | ![]() 8 Further Applications Of Integration Further Applications Of | ![]() 8 Further Applications Of Integration Further Applications Of |
![]() 8 Further Applications Of Integration Further Applications Of | ![]() 8 Further Applications Of Integration Further Applications Of | ![]() 8 Further Applications Of Integration Further Applications Of |
「Centroid of parabola y=x^2」の画像ギャラリー、詳細は各画像をクリックしてください。
![]() 8 Further Applications Of Integration Further Applications Of | ![]() 8 Further Applications Of Integration Further Applications Of | ![]() 8 Further Applications Of Integration Further Applications Of |
8 Further Applications Of Integration Further Applications Of | ![]() 8 Further Applications Of Integration Further Applications Of | 8 Further Applications Of Integration Further Applications Of |
![]() 8 Further Applications Of Integration Further Applications Of | 8 Further Applications Of Integration Further Applications Of | ![]() 8 Further Applications Of Integration Further Applications Of |
「Centroid of parabola y=x^2」の画像ギャラリー、詳細は各画像をクリックしてください。
![]() 8 Further Applications Of Integration Further Applications Of | ![]() 8 Further Applications Of Integration Further Applications Of | ![]() 8 Further Applications Of Integration Further Applications Of |
8 Further Applications Of Integration Further Applications Of | ![]() 8 Further Applications Of Integration Further Applications Of | ![]() 8 Further Applications Of Integration Further Applications Of |
![]() 8 Further Applications Of Integration Further Applications Of | 8 Further Applications Of Integration Further Applications Of | 8 Further Applications Of Integration Further Applications Of |
「Centroid of parabola y=x^2」の画像ギャラリー、詳細は各画像をクリックしてください。
![]() 8 Further Applications Of Integration Further Applications Of | 8 Further Applications Of Integration Further Applications Of | ![]() 8 Further Applications Of Integration Further Applications Of |
![]() 8 Further Applications Of Integration Further Applications Of | ![]() 8 Further Applications Of Integration Further Applications Of | ![]() 8 Further Applications Of Integration Further Applications Of |
![]() 8 Further Applications Of Integration Further Applications Of | 8 Further Applications Of Integration Further Applications Of | ![]() 8 Further Applications Of Integration Further Applications Of |
「Centroid of parabola y=x^2」の画像ギャラリー、詳細は各画像をクリックしてください。
8 Further Applications Of Integration Further Applications Of | ![]() 8 Further Applications Of Integration Further Applications Of | ![]() 8 Further Applications Of Integration Further Applications Of |
![]() 8 Further Applications Of Integration Further Applications Of | ![]() 8 Further Applications Of Integration Further Applications Of | 8 Further Applications Of Integration Further Applications Of |
8 Further Applications Of Integration Further Applications Of | ![]() 8 Further Applications Of Integration Further Applications Of | ![]() 8 Further Applications Of Integration Further Applications Of |
「Centroid of parabola y=x^2」の画像ギャラリー、詳細は各画像をクリックしてください。
![]() 8 Further Applications Of Integration Further Applications Of | ![]() 8 Further Applications Of Integration Further Applications Of | ![]() 8 Further Applications Of Integration Further Applications Of |
8 Further Applications Of Integration Further Applications Of | ![]() 8 Further Applications Of Integration Further Applications Of | 8 Further Applications Of Integration Further Applications Of |
![]() 8 Further Applications Of Integration Further Applications Of | 8 Further Applications Of Integration Further Applications Of | ![]() 8 Further Applications Of Integration Further Applications Of |
「Centroid of parabola y=x^2」の画像ギャラリー、詳細は各画像をクリックしてください。
![]() 8 Further Applications Of Integration Further Applications Of | ![]() 8 Further Applications Of Integration Further Applications Of | ![]() 8 Further Applications Of Integration Further Applications Of |
![]() 8 Further Applications Of Integration Further Applications Of | ![]() 8 Further Applications Of Integration Further Applications Of | ![]() 8 Further Applications Of Integration Further Applications Of |
![]() 8 Further Applications Of Integration Further Applications Of | ![]() 8 Further Applications Of Integration Further Applications Of | ![]() 8 Further Applications Of Integration Further Applications Of |
「Centroid of parabola y=x^2」の画像ギャラリー、詳細は各画像をクリックしてください。
![]() 8 Further Applications Of Integration Further Applications Of | ![]() 8 Further Applications Of Integration Further Applications Of | ![]() 8 Further Applications Of Integration Further Applications Of |
![]() 8 Further Applications Of Integration Further Applications Of | 8 Further Applications Of Integration Further Applications Of | ![]() 8 Further Applications Of Integration Further Applications Of |
![]() 8 Further Applications Of Integration Further Applications Of | ![]() 8 Further Applications Of Integration Further Applications Of | 8 Further Applications Of Integration Further Applications Of |
「Centroid of parabola y=x^2」の画像ギャラリー、詳細は各画像をクリックしてください。
![]() 8 Further Applications Of Integration Further Applications Of | ![]() 8 Further Applications Of Integration Further Applications Of | ![]() 8 Further Applications Of Integration Further Applications Of |
![]() 8 Further Applications Of Integration Further Applications Of | ![]() 8 Further Applications Of Integration Further Applications Of | 8 Further Applications Of Integration Further Applications Of |
8 Further Applications Of Integration Further Applications Of | ![]() 8 Further Applications Of Integration Further Applications Of | ![]() 8 Further Applications Of Integration Further Applications Of |
「Centroid of parabola y=x^2」の画像ギャラリー、詳細は各画像をクリックしてください。
8 Further Applications Of Integration Further Applications Of | 8 Further Applications Of Integration Further Applications Of | ![]() 8 Further Applications Of Integration Further Applications Of |
8 Further Applications Of Integration Further Applications Of | ![]() 8 Further Applications Of Integration Further Applications Of |
Find the centroid of the region in the first quadrant bounded by the xaxis, the parabola y2 = 4x, and the line xy=8 The coordinates of the centroid are (x,y) = I (Simplify your answers Type an ordered pair Type simplified fractions)The left curve is the sideways parabola x = y2 The right curve is the straight line y = x − 2 or x = y 2 The limits of integration come from the points of intersection we've already calculated In this case we'll be adding the areas of rectangles going from the bottom to the top (rather than left to right), so from y = −1 to y = 2 y=2 A = (y 2) − y 2 dy y=−1 3 2y 2 = −y
















































































0 件のコメント:
コメントを投稿